Introduction
There are some rules of thumb that I follow when using the
TreatmentPatterns package. These rules tend to work well in
most situations, across databases and datasets.
TLDR
-
minPostCombinationWindow <= minEraDuration. -
combinationWindow >= minEraDuration. - Small cohorts should not be considered.
- Pathways with a low count should not be considered.
- Possible number of pathways:
- Possible number of pathways, with no re-occurrence:
- Total number of possible events (events + combinations):
- Total number of possible combinations:
Cohorts
When creating cohorts, it is important to keep in mind that the subjects will be dived across pathways. Lets assume we have 10000 subjects in a fictitious cohort. Let’s also assume we have 5 event cohorts.
The total number of potential pathways, assuming only mono therapies equals to , assuming we do not allow for any re-occurring treatments it would still equal to .
Assuming our 5 event cohorts this would equal to:
5^5## [1] 3125
factorial(5)## [1] 120
Combinations
Combinations add additional pathway possibilities. Each event can be uniquely combined with each other event. Each combination can combine with another singular event or any other combination. However, each event in a combination must be unique. So: . As an example it is irrelevant if a person receives penicillin and ibuprofen or ibuprofen and penicillin.
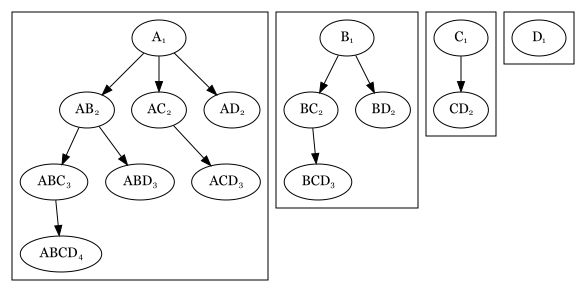
We can draw out all possible combinations in a graph for events .

The subscript of the nodes are the layers where the combination exists in. I.e. combination is in layer 2, and combinations is in layer 4. The layer coincides with the number of events in the combination.
We can count the number of nodes per layer, for each graph:
Our sums look suspiciously similar to .
2^1## [1] 2
2^2## [1] 4
2^3## [1] 8
2^4## [1] 16
We seem to overshoot by 1 , so we can try .
2^0## [1] 1
2^1## [1] 2
2^2## [1] 4
2^3## [1] 8
So our total number of events equals:
Which we can define as a function .
## [1] 15
# Or:
n <- 4
sum(2^(0:(n - 1)))## [1] 15
f_1 <- function(n) {
sum(2^(0:(n - 1)))
}We can simulate our function for 100 events.
n <- 1:25
f_1_events <- unlist(lapply(n, f_1))
data.frame(
n = n,
f_1 = f_1_events
)## n f_1
## 1 1 1
## 2 2 3
## 3 3 7
## 4 4 15
## 5 5 31
## 6 6 63
## 7 7 127
## 8 8 255
## 9 9 511
## 10 10 1023
## 11 11 2047
## 12 12 4095
## 13 13 8191
## 14 14 16383
## 15 15 32767
## 16 16 65535
## 17 17 131071
## 18 18 262143
## 19 19 524287
## 20 20 1048575
## 21 21 2097151
## 22 22 4194303
## 23 23 8388607
## 24 24 16777215
## 25 25 33554431
Notice how the number of events increases with .
We define this as . We can compare to .
f_2 <- function(n) {
2^n - 1
}
n <- 1:25
f_1_events <- unlist(lapply(n, f_1))
f_2_events <- unlist(lapply(n, f_2))
data.frame(
n = n,
f_1 = f_1_events,
f_2 = f_2_events
)## n f_1 f_2
## 1 1 1 1
## 2 2 3 3
## 3 3 7 7
## 4 4 15 15
## 5 5 31 31
## 6 6 63 63
## 7 7 127 127
## 8 8 255 255
## 9 9 511 511
## 10 10 1023 1023
## 11 11 2047 2047
## 12 12 4095 4095
## 13 13 8191 8191
## 14 14 16383 16383
## 15 15 32767 32767
## 16 16 65535 65535
## 17 17 131071 131071
## 18 18 262143 262143
## 19 19 524287 524287
## 20 20 1048575 1048575
## 21 21 2097151 2097151
## 22 22 4194303 4194303
## 23 23 8388607 8388607
## 24 24 16777215 16777215
## 25 25 33554431 33554431
Now we can assert the following: $$ monoEvents = n \\ totalEvents = 2^n - 1 \\ combinationEvents = totalEvents - n $$
n <- 5
totalEvents <- 2^n - 1
combinationEvents <- totalEvents - n
sprintf("monoEvents: %s", n)## [1] "monoEvents: 5"
sprintf("totalEvents: %s", totalEvents)## [1] "totalEvents: 31"
sprintf("combinationEvents: %s", combinationEvents)## [1] "combinationEvents: 26"
Settings
The minEraDuration, combinationWindow, and
minPostCombinationWindow have significant effects on how
the treatment pathways are built. Conciser the following example:
library(dplyr)
cohort_table <- tribble(
~cohort_definition_id, ~subject_id, ~cohort_start_date, ~cohort_end_date,
1, 1, as.Date("2020-01-01"), as.Date("2021-01-01"),
2, 1, as.Date("2020-01-01"), as.Date("2020-01-20"),
3, 1, as.Date("2020-01-22"), as.Date("2020-02-28"),
4, 1, as.Date("2020-02-20"), as.Date("2020-03-3")
)
cohort_table## # A tibble: 4 × 4
## cohort_definition_id subject_id cohort_start_date cohort_end_date
## <dbl> <dbl> <date> <date>
## 1 1 1 2020-01-01 2021-01-01
## 2 2 1 2020-01-01 2020-01-20
## 3 3 1 2020-01-22 2020-02-28
## 4 4 1 2020-02-20 2020-03-03
Assume that the target cohort is cohort_definition_id: 1, the rest are event cohorts.
cohort_table <- cohort_table %>%
mutate(duration = as.numeric(cohort_end_date - cohort_start_date))
cohort_table## # A tibble: 4 × 5
## cohort_definition_id subject_id cohort_start_date cohort_end_date duration
## <dbl> <dbl> <date> <date> <dbl>
## 1 1 1 2020-01-01 2021-01-01 366
## 2 2 1 2020-01-01 2020-01-20 19
## 3 3 1 2020-01-22 2020-02-28 37
## 4 4 1 2020-02-20 2020-03-03 12
As you can see, the duration of the treatments are: 19, 37 and 12 days. Also cohort 3 overlaps with treatment 4 for 8 days.
We can compute the overlap as follows:
cohort_table <- cohort_table %>%
# Filter out target cohort
filter(cohort_definition_id != 1) %>%
mutate(overlap = case_when(
# If the result of the next cohort_end_date is NA, set 0
is.na(lead(cohort_end_date)) ~ 0,
# Compute duration of cohort_end_date - next cohort_start_date
# 2020-02-28 - 2020-02-20 = -8
.default = as.numeric(cohort_end_date - lead(cohort_start_date))))
cohort_table## # A tibble: 3 × 6
## cohort_definition_id subject_id cohort_start_date cohort_end_date duration
## <dbl> <dbl> <date> <date> <dbl>
## 1 2 1 2020-01-01 2020-01-20 19
## 2 3 1 2020-01-22 2020-02-28 37
## 3 4 1 2020-02-20 2020-03-03 12
## # ℹ 1 more variable: overlap <dbl>
We see that the overlap between treatment 2 and 3 is -2,
so rather than an overlap there is a gap between these treatments.
Between treatment 3 and 4 there is an 8 day overlap. There is no next
treatment after treatment 4, so the overlap is 0, let’s assume our
minEraDuration = 5.
We can draw it out like so:
2: -------------------
3: -------------------------------------
4: ------------
If we set our minCombinationWindow = 5, the combination
would be computed for cohort 3 and 4. This would leave us with the
following treatments:
2: -------------------
3: -----------------------------
3+4: --------
4: ----
Treatment 3 now lasts 11 days; Treatment 4 lasts 4 days; and
combination treatment 3+4 lasts 8 days. If our
minPostCombinationDuration is not set properly, we can
filter out either too many, or too little treatments.
Assuming we would set minPostCombinationDuration = 10,
we would lose treatment 4 and combination treatment 3+4. This would
leave us with the following paths:
2: -------------------
3: -----------------------------
Pathway: 2-3
As a rule of thumb the setting the
minPostCombinationDuration <= minEraDuration seems to
yield reasonable results. This would leave us with the following paths
minPostCombinationDuration = 5:
2: -------------------
3: -----------------------------
3+4: --------
Pathway: 2-3-3+4